导读:近日,西安电子科技大学黄云霞副教授联合美国华盛顿大学曹国忠教授(共同通讯作者)报道了一种通过简单的化学共沉淀方法合成了Ni0.85Co0.15WO4固溶体。
一、Nano Energy:具有优异导电性和电容性能的Ni0.85Co0.15WO4纳米片电极用于超级电容器
近日,西安电子科技大学黄云霞副教授联合美国华盛顿大学曹国忠教授(共同通讯作者)报道了一种通过简单的化学共沉淀方法合成了Ni0.85Co0.15WO4固溶体。当Co2+离子参加到NiWO4晶格中时,其比表面积随着孔半径减小而明显增加。与NiWO4相比,Ni0.85Co0.15WO4的电导率随带隙降低而增加。通过循环伏安法(CV),恒电流循环(GC)和电化学阻抗谱(EIS)测试Ni1-xCoxWO4(x=0和0.15)电极的电化学性能。与NiWO4相比,Ni0.85Co0.15WO4样品表现出显著增加的电导率,更快的动力学过程以及更高的容量和更好的倍率性能。相关研究成果以“Ni0.85Co0.15WO4Nanosheet Electrodes for Supercapacitors with Excellent Electrical Conductivity and Capacitive Performance”为题发表在Nano Energy上。
【图文导读】图一 黑钨矿NiWO4晶体结构示意图

(a)NiWO4晶胞
(b)(100)晶格平面的投影
图二 未经退火处理的NiWO4和Ni0.85Co0.15WO4样品的XRD图谱

图三 (a)W4f,(b)Ni 2p,(c)Co 2p和(d)O1s的Ni0.85Co0.15WO4样品的XPS谱图

图四 FEMEM(a和b),TEM(c和d),HRTEM(e和f)以及IFFT(g和h),插图是相应的FFT衍射图

图五 NiWO4和Ni0.85Co0.15WO4样品的氮吸附/解吸等温线(a)和BJH中孔分布(b)

图六 NiWO4和Ni0.85Co0.15WO4样品的紫外-可见吸收光谱(a)和带隙(b)

图七 Ni0.85Co0.15WO4的电化学性能表征

(a)NiWO4和Ni0.85Co0.15WO4样品在扫描速率为5 mV s-1时的CV曲线比较
(b,c)NiWO4和Ni0.85Co0.15WO4在不同扫速下的CV曲线
(d)NiWO4和Ni0.85Co0.15WO4扫描速率的平方根和氧化还原峰值电流密度函数关系图
(e)插入到NiWO4和Ni0.85Co0.15WO4电极中的OH-离子的示意图
图八 NiWO4和Ni0.85Co0.15WO4电化学性能对比

(a)NiWO4和Ni0.85Co0.15WO4电极在0.1A g-1电流密度下的GC曲线比较
(b,c)NiWO4和Ni0.85Co0.15WO4电极在不同电流密度下的GC曲线
图九 NiWO4和Ni0.85Co0.15WO4电极的循环性能

图十 NiWO4和Ni0.85Co0.15WO4的阻抗性能

(a)NiWO4和Ni0.85Co0.15WO4的EIS图
(b)NiWO4和Ni0.85Co0.15WO4样品在低频区Zre和ω-1/2之间的关系图
二、Energy Storage Materials:高能量密度的杂化锂离子电容器
近日,南京大学的金钟教授课题组采用分步热解双金属有机骨架(ZnCo-ZIF)合成的氮掺杂碳包裹Co3ZnC纳米颗粒多面体(Co3ZnC@NC)作为负极材料,以生物质松针叶衍生的高比表面积微孔碳(MPC)作为正极材料(图1),创新性地研发了高能量密度的杂化锂离子电容器。该研究成果发表在储能领域的重要国际期刊Energy Storage Materials上。
研究表明,Co3ZnC@NC复合材料具有优异的电化学性能(图2)。在2mV/s的扫速下,其电容贡献可达75%,说明其储锂过程主要是赝电容机理。通过不同电流密度下的倍率测试,表明Co3ZnC@NC复合材料具有优异的倍率性能。
生物质松针衍生的微孔碳同样具有优异的电化学性能(图3)。当电流密度为100mA/g时,其容量为59.6mAh/g,要高于目前商业化的活性炭(35mAh/g)。在电流密度1000mA/g循环1500圈之后,容量为初始容量的93%,体现了优秀的循环性能。

图1. (a-c)Co3ZnC@NC的SEM、TEM图像,(d-f)MPC的SEM、TEM图像。

图2. Co3ZnC@NC复合材料的电化学性能。(a)不同扫速下的循环伏安曲线,(b)峰电流与扫速之间的关系图,(c)扫速为2 mV/s的循环伏安曲线,红色区域为电容贡献。(d)在500至5000 mA/g下的倍率性能。

图3. MPC电极的电化学性能。(a)不同扫速下的循环伏安曲线,(b)不同电流密度下的恒流充放电曲线,(c)在100至6000 mA/g下的倍率性能,(d)在1000 mA/g电流密度下进行1500次循环的循环性能。

图4. (a)杂化锂离子电容器结的构示意图。(b)能量密度与功率密度图。
在1-4.5 V的工作电压范围内,该杂化锂离子电容器在275 W/kg的功率密度下,能量密度高达141.4 Wh/kg(基于活性材料计算),而在15.2 Wh/kg的能量密度下,其功率密度可达10.3 kW/kg(图4)。该杂化锂离子电容器表现出优异电化学性能的原因可以简略归结于:(1)Co3ZnC@NC复合材料的赝电容特性提高了Co3ZnC@NC电极的动力学,同时其分级多孔结构促进了电子和离子的快速传导。(2)MPC具有大的比表面积、丰富的微孔结构,有助于保障快速的电荷传输以及高的比容量。(3)Co3ZnC@NC负极材料和MPC正极材料之间电化学动力学的良好匹配性保证了高性能的杂化锂离子电容器。该研究成果为研发下一代先进储能材料和器件提供了新的视角。
三、Chem:可用于Fenton反应分解双氧水的“无机助催化剂”
最近,华东理工大学张金龙教授和邢明阳副教授研究团队与美国加州大学河滨分校的殷亚东(Yadong Yin)教授研究团队通力合作,开发出可用于Fenton反应高效分解双氧水的“无机助催化剂”——以硫化钼(MoS2)为代表的“表面缺陷态硫化物”。MoS2协同光催化实现了Fenton反应中铁离子的高效循环以及H2O2的快速分解。研究发现,当H2O2和Fe2+浓度分别控制在0.4 mmol/L和0.07 mmol/L时,MoS2、WS2、Cr2S3、CoS2、PbS及ZnS等硫化物表面暴露的还原态金属活性中心促进了Fe3+/Fe2+的循环(如上图)。此外,光催化可以进一步促进H2O2的分解及有机分子的敏化,使得H2O2的分解效率从28%提高至75%。高效的铁离子循环效率及较低的H2O2和Fe2+用量不仅有效抑制了铁泥的生成,还使得硫化物无机助催化体系在10次循环反应后依旧保持对苯系有机污染物分子90%以上的TOC矿化率,远高于传统Fenton体系以及有机助催化体系的矿化率(~20%),甚至在无氧条件下,依旧保持对有机污染物分子96%的降解率。在工业应用方面,MoS2助催化Fenton体系还被用来直接处理工业苯系物废水(初始COD:10400 mg/L)。反应1h后,苯系废水的COD去除率达到65%,远远高于传统Fenton反应的活性(12%),反应7小时后,COD值降低至360 mg/L,去除率达97%。
四、JACS:高度有序介孔氧化硅材料利用自由基路线的绿色合成
近日,吉林大学于吉红院士研究团队提出了一种利用自由基路线在无酸体系合成高度有序介孔氧化硅SBA-15的方法。通常,在无酸条件下合成的介孔氧化硅呈现的是无序的孔道结构。他们利用紫外光照射产生的?OH自由基促进原硅酸四乙酯(TEOS)的水解以及硅物种与表面活性剂的自组装过程,在完全无酸的绿色反应条件下得到了高度有序的介孔二氧化硅SBA-15。研究发现,通过适当光密度的紫外光对TEOS-P123-H2O反应体系进行照射,体系中生成的?OH自由基会促进Q3和Q4物种的形成,从而有利于具有高比表面积、高度有序的SBA-15的形成。进一步研究发现,当在反应体系中加入Fenton试剂,可以合成铁负载效率高达50%的有序介孔Fe-SBA-15,解决了在酸反应体系中过渡金属难以负载的问题。通过向反应体系中加入痕量的自由基引发剂Na2S2O8,也可以得到高度有序的SBA-15。该研究开创了利用自由基路线合成高度有序的介孔氧化硅材料的新思路,并为其大规模工业生产提供了应用前景。这一成果近期发表在Journal of the American Chemical Society 上。

此前该研究团队开创性的发现,?OH自由基存在于沸石分子筛的水热合成体系,并可以显著加速沸石分子筛的成核,且首次对该机制进行了系统的研究(Science, 2016,351, 1188-1191),使人们对沸石分子筛的生成机理有了新认识,为在工业上具有重要需求的沸石分子筛材料的高效、节能和绿色合成开辟了新的路径。这一重大发现,为自由基路线绿色合成高度有序介孔氧化硅材料提供了理论基础。
五、Nano Lett.:基于hBN/黑砷磷/hBN异质结构的空气稳定室温中红外光电探测器
近日,美国南加州大学周崇武、耶鲁大学Fengnian Xia(共同通讯)等人证明通过将砷引入BP形成的黑磷合金(b-AsxP1-x)可显著延长光子器件的工作波长范围。制成的夹在六方氮化硼(hBN)中的b-As0.83P0.17光电探测器在室温下分别在3.4,5.0和7.7μm处显示出190,16和1.2mA/W的峰值外部响应度。此外,由于通过完整的hBN封装保留了b-As0.83P0.17的原始性质,本征光电导效应支配光电流,并且这些b-As0.83P0.17光电探测器显示可忽略的传输滞后。由于本征光电导产生的中红外范围内的广泛和大的光响应性,以及优异的长期空气稳定性,使b-As0.83P0.17合金成为用于中红外应用的有前景的替代材料,例如自由空间通信,红外成像和生物医学传感。相关成果以题为“Air-Stable Room-Temperature Mid-Infrared Photodetectors Based on hBN/Black Arsenic Phosphorus/hBN Heterostructures”发表在了Nano Lett.上。
【图文导读】

图1 晶体结构和红外消光特性
(a)具有标记峰的米勒指数的合成晶体的X射线衍射图
(b)b-As0.83P0.17合金的正交波纹蜂窝状结晶结构
(c)偏振分解的IR消光光谱
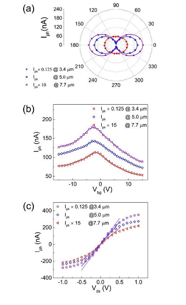
图2 hBN封装的b-光电晶体管的光响
应AsP0.830.17

(a)偏振分辨光电流
(b)光电流的Vbg依赖性
(c)光响应作为源极-漏极偏压Vds的函数
图3 功率和频率与光电流和噪声特性的关系

(a)光电流作为入射功率的函数
(b)光响应作为入射光强度调制频率的函数
(c)噪声等效功率
六、ACS Nano :一种用于超结构自组装的复合粘合剂
近日,中国科学院长春应用化学研究所王立民、Lianshan Sun(共同通讯)等人建立了利用Mo-聚多巴胺配合物作为粘合剂和固化剂将颗粒组装成超结构的简便途径。在水/乙醇体系中推导了并行吸附和生长机理,并验证了影响最终结构的因素。该系统适用于从不同形状的粒子(例如纳米球,纳米立方体,纳米棒和空心球)组装超结构,尺寸范围为10至500nm。经过高温蚀刻处理后,生成的具有不同块体超级孔结构的MoO2/N/C骨架具有较高的结构可塑性,可作为多功能载体用于储能。相关成果以题为“A Kind of Coordination Complex Cement for the Self-Assembly of Superstructure”发表在了ACS Nano上。
【图文导读】
图1 超结构合成

(a)Mo-PDA的复合和聚合
(b)不同pH值的SiO2和AMH混合溶液的Zeta电位值
(c)超结构的完整合成程序
图2 自组装过程

(a)PDA的自聚合和Mo-PDA的自组装的方案
(b)PDA或Mo-PDA修改的全局块的组装模型
(c)使用Mo-PDA从SiO2纳米球超结构组装过程的方案
(d)整个组装过程中产品形态变化的TEM图像
图3 性能分析

(A)倍率性能
(B)第一次放电/充电曲线
(C)循环性能
转载自http://libattery.ofweek.com/2018-04/ART-36001-11001-30223133_2.html锂电网